Making every drop count
29 Jun 2018
The FDA requires finished pharmaceutical product manufacturers control safety, identity, strength, quality, and purity for each lot. Among these, strength, and by extension safety, is impacted by two factors. This first is the proportion of active ingredient relative to all the remaining excipients in the formulation, the second is the amount of that formulation which is actually added to each vial. Specific details are given in 21 CFR 211.101 Charge-in of Components on ensuring the amount of active ingredient included is not less than 100 percent of the labeled or established amount of active ingredient.
For the second factor, the USP provides limits on filling amounts over the therapeutic dose. For doses at or over 50 mL, depending on viscosity, the recommended excess fill is 2% to 3%. However, at the lowest dose listed, 0.5 mL, the recommended excess is 20%. This equates to an amount of 0.1 mL, for a total fill of 0.6 mL.

One additional component of the fill, is the intent to meet a minimum target. For example, in the above scenario, each and any given vial must contain no less than 0.6 mL to ensure a withdrawable volume and dosing of 0.5 mL. In this case, the value of 0.6 mL must represent a lower reject limit, where all filled vials must minimally contain this volume. This amount is superseded by a lower action limit and target fill amount. To ensure each vial contains at least at least 0.6 mL, the target must be greater than 0.6 mL.
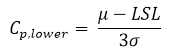
This new target represents the center of a population distribution. The reject limit becomes defined by the statistical variability of the filling system and the ability to measure it. At Piramal Pharma Solutions, filling targets are determined based on a measured process capability index (Cpk). In general, this is the mimimum of the upper and lower limits, and specifically, in this case, the lower Cp:

where µ represents the process mean, LSL is the lower specification limit, such as 0.6 mg, and s is the standard deviation of the process. The process capability is represented as percentage that falls within a number of standard deviations. According to the probability distribution function, four standard deviations is a process capability of 1.33 which corresponds to 99.99% of values falling within the limits. PPS uses this 4s value as a reject limit and 3s value as an action limit. Fundamentally, the mean of the probability distribution of the filling pump variability is set 4 standard deviations above the lower limit.
In addition to the filling pump variability, an additional factor of the ability to measure the weight must be taken into account. For example, using a three decimal place weigh cell, PPS approach is to read to the second decimal place. In this case, all values from 0.005 g to 0.014 g will be observed as 0.01 g. This measurement allowance is added on top of the filling pump variation.
In total, for an actual delivered dose of 0.5 mL, accounting for the USP additional volume to ensure withdrawable volume, accounting for 4s from the mean filling weight, and weigh cell tolerance, with a standard deviation of 0.05 g and 0.01 g weigh tolerance, the actual fill target could be as high as 0.21 g over the USP recommended fill, and 0.31 g over the actual target dose of 0.5 mL, assuming a density of 1 g/mL. Nearly 62% of the dose is not being delivered to the patient.

The most key factor is the standard deviation in filling. For a similar example, holding a standard deviation to 0.02 g reduces the target fill by 0.18 g.

PPS makes regular use of ceramic piston pump systems. These types of pump systems use stepper motors to tightly control dispensing variability to sub-milligram levels. PPS selects appropriate pump systems to minimize filling pump variability. By controlling this factor, PPS ensures more of the product makes it to the patients.